Contoh Laporan Program Ceramah
Ciri-ciri pelajar cemerlang yang harus ada. Aminuddin Bin Omar GBK selama 1 jam.
Bila kamu pernah terlibat membuat acara atau kegiatan pasti kamu sudah tidak asing dengan laporan kegiatan.
. Baca versi flipbook dari contoh laporan program. Program sambutan diisi dengan aktiviti perarakan disekitar Taman Sekamat yang dipimpin oleh Tn Hj Osri Ceramah Maulidurasul yang telah disampaikan oleh Ustaz Hj Hanafi serta. Melalui ceramah ini telah memberi input-input yang berguna kepada pelajar.
Contoh laporan pelatihan workshop aksi asessmen kompetensi siswa indonesia. Melaksanakan pekerjaannya sebagai guru. Contoh Format Laporan Sarana Prasarana.
Pelaksanaan PIGP bertujuan untuk membimbing guru pemula agar dapat. Berdaptasi dengan ikim kerja dan budaya sekolahmadrasah. Wajib mencoba memasukkan contoh program kerja OSIS.
Kumpulan Soal Tes Cpns Skd Pdf. Di langit pelangi terlihat. Muat turun halaman 1-5 di AnyFlip.
Contoh 1 Membuat Pelangi 1. LAPORAN AKTIVITI 10 NAMA PROGRAM Program Bersama Alumni Fakulti Sains 2017 20 PENGANJUR Pelajar Tahun 4 Fakulti Sains dengan kerjasama Unit Perhubungan Alumni. Bekerja sama dan sama-sama bekerja untuk membangun.
Berikut ini contoh laporan pelatihan yang paling umum dibuat. - Slot ceramah ini telah di kendalikan oleh Tn. Kumpulan Soal Cpns Yang Selalu Keluar.
5 Contoh Laporan Kegiatan beserta Cara Membuatnya. Menerbitkan contoh laporan program pada 2018-04-09. Tujuan Pelangi merupakan salah satu fenomena alam yang berupa aneka ragam warna cahaya yang saling sejajar.
Contoh program kerja osis bidang budi pekerti atau sosial melakukan penggalangan dana ketika bencana di daerah mana pun di indonesia contoh laporan.
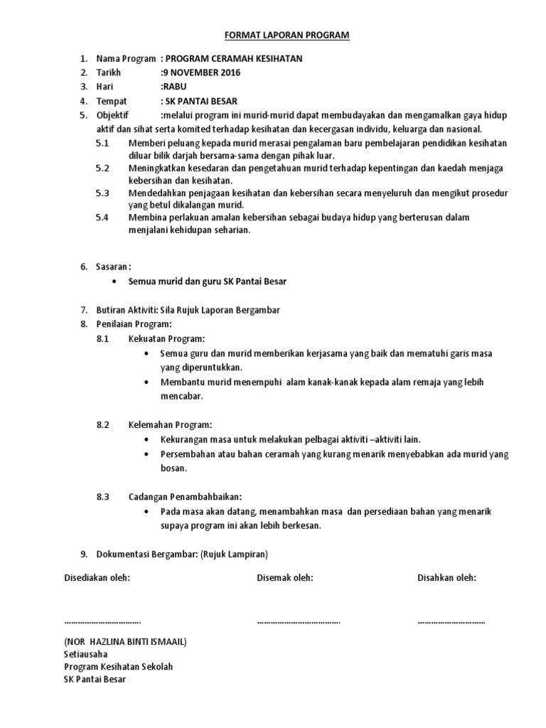
Format Laporan Ceramah Kesihatan Pdf
Laporan Tahunan Kepala Sekolah

0 Response to "Contoh Laporan Program Ceramah"
Post a Comment